Chemical Engineering Tutorials: October 2024

Tuesday, 15 October 2024

Reactor Sizing Examples

 Reactor sizing was discussed in a previous blog entry (Click here to view).

Example 1

Consider a liquid phase reaction occurring in a PFR with the following data and Equation

X

0

0.4

0.8

-rA (mol/dm3s)

0.01

0.008

0.002

1/(-rA) (dm3s/mol)

100

125

500


If the molar feed to the PFR is 2 mol/s, what is the volume of the PFR needed to achieve 80% conversion.

Answer

For a PFR, 

Using the data provided in the table, we can plot a Levenspiel Plot:


Using Simpson's three point rule:


Thus, to achieve an 80% conversion, a PFR of  293.3 dmis needed

Example 2

A second order irreversible reaction is carried out in the gas phase inside a PFR. 

A reactant of molecular weight 40 and 50% by weight, and the rest with an inert of molecular weight of 20 are fed to the reactor. The reaction is carried out at constant temperature of 70°C and constant pressure of 5.25 atm. The rate constant is 400m3/(kmol.ks).

Calculate the volume of the PFR needed to achieve a 40% conversion of A to produce 30kmol/hr of product R.

Answer

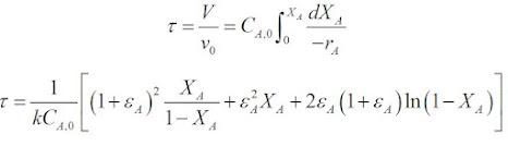
For a second order reaction:

When substituting into the PFR equation and integrating the equation we get:

            (1) 

To calculate εA, let us consider a 1.0g sample of reagent mixture which has 0.5/40 = 0.0125 mol of A and 0.5/20 = 0.025 mol of inert. The following volume balance is then obtained. 


The expansion parameter, εA, = (0.05 - 0.0373)/0.0373 = 0.0340

The initial concentration of A, CA0, is given by:

Substituting into equation 1,


Given the product flow rate (FR) is 30 kmol/hr, we can obtain the volumetric flow rate: 

The reactor volume can now be found using the following:

















Relationship Between Heat Transfer and the First Law of Thermodynamics

Thermodynamics and heat transfer are complementary engineering subjects, each addressing different aspects of energy behavior in systems. In...