Chemical Engineering Tutorials: August 2024

Thursday, 15 August 2024

Example of Surface Tension and Capillary Action

 Example 1

a) Develop an expression to calculate the pressure inside a droplet of water,

b) Determine the pressure inside a 1cm diameter (D = 1cm) water droplet exposed to atmospheric pressure (P0 = 101,300 N/m2) {Assume water surface tension, σ = 71.97 * 10-3 N/m)

Solution

a) The difference in pressure on the inside and the outside tend to expand the droplet and the surface tension constrains the pressure.

Carrying out a force balance on the droplet we obtain:

(Pressure difference) x (Cross sectional area) = (Surface tension) x (Surface length)

(Pi – P0)πR2 = σ(2πR)

simplifying the above expression we get:


b) From the above equation, we can substitute the known variables to solve for the unknown Pressure inside the droplet, Pi  (where: R = D/2 = 0.5cm = 0.005m)

Pi (101,300 N/m2) + ((2*71.97 * 10-3 N/m)/0.005m)

P= 101,330 N/m2

Example 2

A capillary tube has a very small inner diameter and when it is immersed slightly in a liquid, the liquid will rise within the tube to a height that is proportional to its surface tension. This phenomenon is referred to as a capillary action.

The figure below depicts a glass capillary tube slightly immersed in water. The water rises by a height, h, within the tube and the angle between the meniscus and glass tube is θ. Perform a force balance on the system and develop a relationship between the capillary rise ,h, and surface tension ,σ.

Solution

Let us consider a cross section of the liquid column with a height h and diameter 2R with the weight of the column, W and the surface tension force, T. 

The weight can be calculated as:

The force due to surface tension acts at the circumference where the liquid touches the wall. The surface tension force is, therefore, the product of surface tension and circumference:

T = (2πR)σ

Addition of the forces in the vertical direction show that the vertical component of the surface tension force must equal the weight of the liquid column:

W = T cos(θ) or ρπR2hg = 2πRσcos(θ)

Thus, rearranging we can solve for the height, h.


 

Monday, 12 August 2024

Properties of Fluids

Fluid mechanics equations helps to predict the behavior of fluids in various flow situations. A fluid can be defined as a substance that deforms continuously under an applied shear stress.

Several properties need to be provided in order to use these equations. Some of these properties include: viscosity, pressure, density, kinematic viscosity, surface tension, specific heat, internal energy, enthalpy, and compressibility.

a) Viscosity

This is one of the most important fluid properties. Viscosity can be defined as the measure of resistance a fluid has to an externally applied shear stress.

Let us consider a fluid in between two horizontal parallel plates as shown below:

The upper plate has a contact area, A, with the fluid and is being pulled to the right by a force, F1 at a velocity, V1. The measurement of velocity at infinitesimally small distances along the fluid results in a velocity distribution graph as illustrated in the figure above. Since the fluid near the moving surface adheres to it, the velocity of the surface (x=Δy) is V1. This is referred to as the nonslip condition. When x=0 (at the stationary plate) velocity is zero (again due to nonslip condition). The slope of the velocity distribution is dV1/dy.

If a different force F2 is applied on this system, a different slope (strain rate) of dV2/dy is obtained. Thus, we can summarize that each applied force yields to only one shear stress and one strain rate.

Plotting τ vs dV/dy for a fluid like water results in the following graph:

As can be seen, the points lie on a straight line that passes through the origin and the slope of this line is the viscosity of the fluid as it is a measure of the fluid’s resistance to shear. i.e., viscosity indicates how a fluid will react (dV/dy) under the action of an external shear stress (τ). The above graph is characteristic of a Newtonian fluid. A Newtonian fluid is simply a fluid whose viscosity is not affected by shear rate at constant temperature. Water, oil, and air are examples of Newtonian fluids.

Since there are also non-Newtonian fluids as well, if we plot τ vs dV/dy we obtain the following rheological diagram.

Newtonian fluids obey Newton’s law of viscosity that is represented as the equation below, any fluid that doesn’t comply with this equation can be classified as a non-Newtonian fluid.

Where:

  • τ = the applied shear stress (lbf=ft2 or N=m2)
  • μ = the absolute or dynamic viscosity of the fluid (lbf.s/ft2 or N.s/m2)
  • dV/dy = the strain rate (rad/s)

The dynamic viscosity is simply the resistance to movement of one fluid layer over another.

Non-Newtonian fluids are divided into three categories: time-independent, time-dependent, and viscoelastic.

    (i) Time-Independent Fluids

These fluids are divided into dilatant, pseudoplastic and Bingham plastics.

Dilatant fluids exhibit an increase in viscosity with an increase in shear stress. Examples include wet beach sand and other water solutions containing a high concentration of powder.  

A power law equation (called the Ostwald–deWaele equation) usually gives an adequate description:

where: K is called a consistency index (lbf.sn/ft2 or N.sn/m2) and n is a flow behavior index.

Pseudoplastic fluids exhibit a decrease in viscosity with an increase in shear stress. Examples include mayonnaise, greases and starch suspensions. A power law equation also applies:

Bingham plastic fluids behave as solids until an initial yield stress τ0 is exceeded. Beyond τ0, Bingham plastics behave like Newtonian fluids. Examples include toothpaste, soap, paint, chocolate mixtures and paper pulp. The descriptive equation is:

   (ii) Time-Dependent Fluids

These are divided into rheopectic and thixotropic fluids.

In a rheopectic fluid, a shear stress that increases with time gives the rheopectic fluid a constant strain rate.

Thixotropic fluid behaves opposite to rheopectic fluids i.e., a shear stress that decreases with time gives a thixotropic fluid a constant strain rate.

   (iii) Viscoelastic Fluids

These are fluids that show both elastic and viscous properties, they partly recover elastically from deformations cased during flow. Examples include flour dough.

b) Pressure

Pressure is defined as a normal force per unit area existing in the fluid with units lbf/ft2 or N/m2. Fluids, whether at rest or moving, exhibit some type of pressure variation either with height or with horizontal distance.

In a closed-conduit flow like flow in pipes, differences in pressure throughout the conduit maintain the flow. Pressure forces are significant in this regard.

c) Density

The density of a fluid is its mass per unit volume, represented as ρ.

One quantity of importance related to density is specific weight. Whereas density is mass per unit volume, specific weight is weight per unit volume (lbf/ft3 or N/m3). Specific weight is related to density by:

SW = ρg

Another useful quantity related to density of a substance is specific gravity. The specific gravity of a substance is the ratio of its density to the density of water at 4°C:


d) Kinematic Viscosity

Kinematic viscosity, ν, with the units ft2/s or m2/s is the ratio of absolute viscosity to density:

e) Specific Heat

The specific heat of a substance is the heat required to raise a unit mass of the substance by 1°. The dimension of specific heat is energy/(mass.temperature).

The process by which the heat is added also makes a difference, especially for gases. The specific heat for a gas undergoing a process occurring at constant pressure involves a different specific heat than that for a constant volume process.

f) Internal Energy

This is the energy associated with the motion of the molecules of a substance. For example, a gas can have three types of energy:

  • energy of position (potential energy),
  • energy of translation (kinetic energy) and
  • energy of molecular motion (internal energy).

The added heat does not increase the potential or kinetic energies but instead affects the motion of the molecules. This results in an increase in temperature. For a perfect gas with constant specific heats, internal energy is:

ΔU = cvΔT

where ΔU is a change in internal energy per unit mass with dimensions of energy/mass. 

g) Enthalpy 

This is the total heat energy in a system equivalent to the sum of total internal energy and resulting energy due to its pressure and volume. For a perfect gas with constant specific heats, it can be shown that:

ΔH = cpΔT

Similar to internal energy, enthalpy has the dimension of energy/mass.

h) Surface Tension

This is a measure of the energy required to reach below the surface of a liquid bulk and bring molecules to the surface to form a new area. Therefore, surface tension arises from molecular considerations and applies only for liquid–gas or liquid–vapor interfaces.

For a liquid-gas interface, attraction of molecules is due to cohesive forces. If the liquid is in contact with a solid, adhesive forces can also be considered. Remember, cohesive forces are the forces that attract molecules of the same substance whereas, adhesive forces binds molecules of different substances together.

The dimension of surface tension is energy/area (lbf/ft or N/m) and is generally denoted by the symbol, σ.

i) Bulk Modulus or Compressibility Factor

All materials, whether solids, liquids or gases, are compressible. This means that for a given volume, V of a given mass, will be reduced to V – dV when a force is exerted uniformly over its entire surface. If the force per unit area of surface increases from P to P + dP, the relationship between change of pressure and change of volume depends on the bulk modulus of the material.

Compressibility factor is expressed as follows:

The isothermal bulk modulus is the reciprocal of the compressibility factor and expressed as follows:

Since the dimensions of volume change and volume are the same, the denominator of the above equation is dimensionless. Thus the isothermal bulk modulus has the same units as pressure.

The isothermal bulk modulus can be measured experimentally, but it is more convenient to calculate it using data on the velocity of sound in the medium. The sonic velocity in a liquid or a solid is related to the isothermal bulk modulus and the density by the following equation:














Friday, 2 August 2024

Entropy Balance

Entropy is an extensive property, like mass and energy, that can be used to characterize the state of thermodynamic systems at equilibrium. The entropy of a system changes as a result of a process but it is not a conserved quantity. Generation of entropy, Sgen, is equal to the entropy change of the universe, i.e.,

Sgen = ΔSuniverse

         =ΔSsystem + ΔSsurroundings    0               (1)

ΔSsystem may be less than zero. However, ΔSuniverse is either zero (reversible process) or greater than zero (irreversible process).

For an open system (both mass and energy is exchanged with surroundings), the rate of entropy generation is expressed as:

gen = Ṡsystem + Ṡsurrounding              (2)

The rate of entropy change of the system is expressed as:

The entropy of the surroundings may change through two ways: (i) mass flow, (ii) heat transfer. Note that entropy transfer has nothing to do with work. Thus,

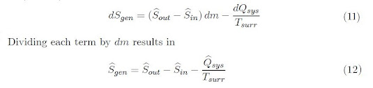
This is also known as the entropy balance. Note that dQsurr = − dQsys and dSgen ≥ 0.

Simplifying Eq. 6 for different types of systems is given below:

Isolated Systems

Since there is no exchange of mass and energy between the system and its surroundings, Eq. 6 simplifies to:


Closed System

Since there is no exchange of mass between the system and its surroundings, i.e., dmin = dmout = 0, Eq. 6 simplifies to:


Steady State System

Noting that:

dmin = dmout = dm                         and

                                                                   d(mŜ)sys = 0

 Equation 6 simplifies to:





Thursday, 1 August 2024

Entropy Change of the Universe

The entropy change of the universe is the sum of the entropy change of the system and the entropy change of the surroundings:

ΔSuniverse = ΔSsystem + ΔSsurrounding

To determine the entropy change of the universe, let us consider the following processes:

  • Adiabatic expansion
  • Adiabatic compression
  • Heat Engine
  • Heat Pump

Adiabatic expansion

Let us consider a reversible adiabatic expansion of a gas in a piston-cylinder device from P1 to P2. Since work is done by the system, the gas temperature decreases to the final state temperature T2. The process is represented on a P – T diagram below:

During expansion, work is done by the system and -W is a positive quantity. As the initial and final state pressures are the same, part of the work done by the system during the irreversible expansion process is used to overcome friction and as a result:


This indicates that the irreversible process leads to a smaller decrease in internal energy than the reversible process. Equation 3 can be expressed as:

U1 – U2 > U1 – U3    thus U3 > U2                        (4)

Therefore T3 > T2. It is possible to go from state 3 to state 2 by removing heat reversibly to decrease the temperature. The change in entropy for this process is given by:

Since heat is removed from the system, i.e., dQ < 0, then S3 > S2.

On the other hand, the reversible process occurs at constant entropy, (S1 = S2), and thus S3 > S1. Note that the processes 1 → 2 and 1 → 3 cause no entropy change of the surroundings as they both are adiabatic. Hence, the system entropy change is the entropy change of the universe. The universe entropy changes due to the reversible and irreversible adiabatic expansion processes are summarized as follows:


Adiabatic Compression

Let us consider a reversible adiabatic compression of a gas in a piston-cylinder device from P1 to P2. Since work is done on the system, the gas temperature will increase to the final state temperature, T2. The process is represented on a P – T diagram as follows:

During compression, work is done on the system and W is positive. Since the initial and final state pressures are the same, the irreversible compression requires an extra work to overcome friction and as a result:

This indicates that the irreversible process leads to a larger increase in internal energy than the reversible process. Equation 8 can then be expressed as:

U3 – U1 > U2 – U1    thus U3 > U2                        (9)

Therefore T3 > T2. It is possible to go from state 3 to state 2 by removing heat reversibly to decrease the temperature. The change in entropy for this process is given by:

Since heat is removed from the system, i.e., dQ < 0, then S3 > S2.

On the other hand, the reversible process occurs at constant entropy, (S1 = S2), and thus S3 > S1. These processes have no entropy change of the surroundings as they both are adiabatic. Hence, the system entropy change is the entropy change of the universe. The universe entropy changes due to the reversible and irreversible adiabatic expansion processes are summarized as follows:


Heat Engine

Let us consider two heat engines that operate between heat reservoirs at the same constant temperatures TH and TC as shown below:


The reversible on extracts QH amount of heat from the high temperature reservoir and discards Qcrev amount of heat to the low temperature reservoir, with a work output of -Wrev.

The irreversible heat engine receives the same amount of heat from the high temperature reservoir and discards Qcirrev amount of heat to the low temperature reservoir, with a work output of − Wirrev.

The entropy change of the universe is:

ΔSuniverse = ΔSH + ΔSheat engine + ΔSC                                (11)

As the heat engine operates is cyclical, there is no entropy change of the heat engine and thus Eq. 11 simplifies as:

ΔSuniverse = ΔSH + ΔSC                                (12)

For a reversible heat engine, equation 12 can be expressed as:

For a heat engine ΔU = 0 and − W = Q. Thus,

QH - Qcrev = -Wrev      and   QH - Qcirrev = -Wirrev              (17)

Since both of the heat engines operate between the same temperature limits, the work output of the reversible heat engine is always greater than the irreversible one, i.e.,

-Wrev > -Wirrev              (18)

Using equation 18 in equation 17 we see that:

Qcirrev > Qcrev                   (19)

Using the identity in equation 19, we can compares equations 15 and 16 to result in:

ΔSuniverse|irrev > 0               (20)

Heat Pump

Let us consider two heat pumps (refrigerators) that operate between the same constant temperature heat reservoirs TH and TC as shown: 


The reversible heat pump extracts QC amount of heat from the low temperature reservoir and discards QHrev amount of heat to the high temperature reservoir. Thus, Wrev amount of work is done on the heat pump.

The irreversible heat pump extracts the same amount of heat from the low temperature reservoir but discards QHirrev amount of heat to the high temperature reservoir while receiving Wirrev amount of work from the surroundings.

The entropy change of the universe is expressed as:

                                   ΔSuniverse = ΔSH + ΔSheat pump + ΔSC                                (21)

As mentioned previously, since the heat engine operates is cyclical, there is no entropy change of the heat engine and thus Eq. 11 simplifies as:

ΔSuniverse = ΔSH + ΔSC                                (22)

For a reversible heat pump, equation 22 can be expressed as:

For a heat pump ΔU = 0 and − W = Q. Thus,

QCQHrev = -Wrev      and   QCQHirrev = -Wirrev       (26) 

Since both of the heat engines operate between the same temperature limits, the work received by the reversible heat engine is always less than the irreversible one, i.e.,

                                                                  Wrev <  Wirrev              (27)

Using equation 27 in equation 26 we see that:

QHirrev > QHrev            (28)

Since QHirrev is larger than in the reversible case, QHrev, comparing Equations 24 and 25 results in:

ΔSuniverse|irrev > 0            (29)


Note:

The results for the thermal processes (Heat engine & heat pump) are the same as those obtained for the mechanical processes (Adiabatic expansion & compression) and can be summarized by the equation







Relationship Between Heat Transfer and the First Law of Thermodynamics

Thermodynamics and heat transfer are complementary engineering subjects, each addressing different aspects of energy behavior in systems. In...